

med denne artikel gjort noget systematisk forsøg på holde
toldregnskaberne op mod andre kilder. Dette vil blive gjort i
et opfølgende projekt.
7
Toldregnskaberne fra 1700-tallet er tidligere behandlet
af Anders Monrad Møller, som har gennemgået materialet
på landsplan i forbindelse med sin disputats
Fra Galeoth til
Galease
.
Studier
i de kongerigske provinsers søfart i det 18.
århundrede.
Herfra er hentet værdifulde oplysninger, der
kan sætte oplysningerne fra Varde i perspektiv.
8
Varde og vadehavstrafikken
Ladepladserne Hjerting og Ho på fastlandet ved Grådyb ud-
gjorde den nordligste havn i den danske del af Vadehavet
– og dermed i hele Vadehavet, der dengang strakte sig helt
ned til Zuiderzee i Holland.
9
Trafikken fra Varde toldsted
gik for størstedelens vedkommende til Norge, Holland, El-
ven, Altona og Hamburg. ”Elven” dækkede de mange små-
havne langs Elben ind mod den danske købstad Altona og
den gamle hansestad Hamborg. De varer, man havde med,
var fisk, landbrugsprodukter og groft forarbejdede varer. De
varer, man importerede, var fra Norge træ og jern og syd-
fra kolonialvarer, salt, vin, byggematerialer samt med tiden
også en række luksusprodukter.
10
Der er kun bevaret dele af toldbøgerne fra 1600-tallet
for Varde toldsted, så det er først, når man kommer op i
1700-tallet, hvor flere toldbøger er bevaret i deres helhed,
at man kan danne sig et billede af trafikken på toldstedet.
Her vil kort blive redegjort for de hjemmehørende fartøjers
aktivitet ved Varde toldsted, mens de mange øvrige fartøjer,
der havde ærinde ved toldstedet, ikke vil blive inddraget i
denne sammenhæng.
11
Den første bevarede toldbog er fra 1731, hvor den hjem-
mehørende flåde var på sit højeste, både hvad gjaldt antallet
af fartøjer: 19 i alt, og tonnage: 156,5 læster.
12
De to største
fartøjer var beskæftiget med sælfangst ved Grønland, mens
de øvrige fartøjer – fortrinsvis smakker – i dalende størrel-
sesrækkefølge sejlede på Norge (tre fartøjer), Holland (seks
fartøjer) og Elben (otte fartøjer). Skibslisten opregnede
ikke, hvor de kom fra, men af toldbogen ses det, at 12 af
deres skippere kom fra Hjerting, mens syv kom fra Ho.
I slutningen af 1760’erne var antallet af fartøjer mere
end halveret. I 1769 var der ni fartøjer hjemmehørende ved
Varde toldsted: en grønlandsfarer, tre der sejlede til Norge,
tre til Holland, en til Hamborg, og en sejlede til Ringkøbing
for at søge fragt. Otte fartøjer hørte hjemme i Hjerting og
kun et i Ho.
I 1798 var der syv hjemmehørende fartøjer på fastlan-
det, hvoraf fem hørte hjemme i Hjerting, mens Janderup og
Guldager havde hver en båd. Alle sejlede de fortrinsvis til
Altona og til destinationer, de passerede på vejen – altså en
ret lokal trafik. En 21 år gammel galease på 13 læster hjem-
mehørende i Ho var blevet ophugget samme år, og dermed
optrådte Ho ikke længere som hjemsted for fartøjer.
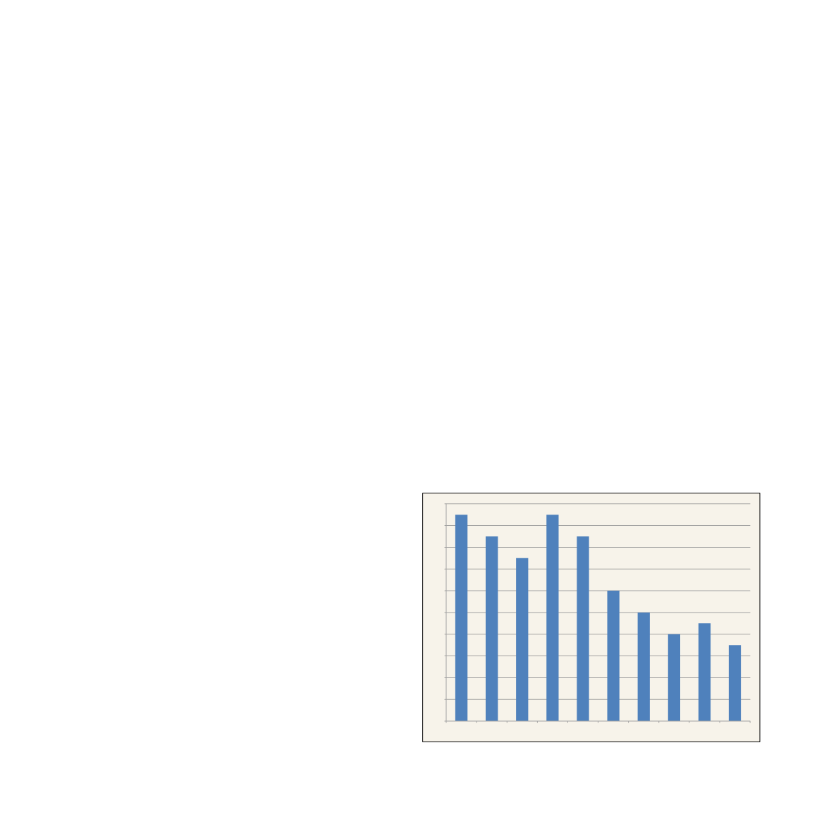
Antallet af fartøjer og tonnagen
På grafen i nedenstående figur kan man følge udviklingen i
antallet af fartøjer ved Varde toldsted. Fra 1671 til 1682 gik
antallet ned fra 19 til 15 fartøjer, for så igen at stige til 19 i
1731. Derefter faldt antallet gennem 1760’erne til at ligge
under 1600-tals niveau. Denne udvikling blev til dels opvejet
af, at det enkelte fartøj blev større – fra i gennemsnit 2,6 læ-
ster i 1671 til 14,1 i 1763. I 1760’erne lå den gennemsnitlige
0
2
4
6
8
10
12
14
16
18
20
1671 1674 1682 1731 1733 1761 1763 1767 1769 1798
Antal fartøjer ved Varde toldsted (ekskl. Fanø).
Kilde: Varde Toldbøger, Rigsarkivet.
30